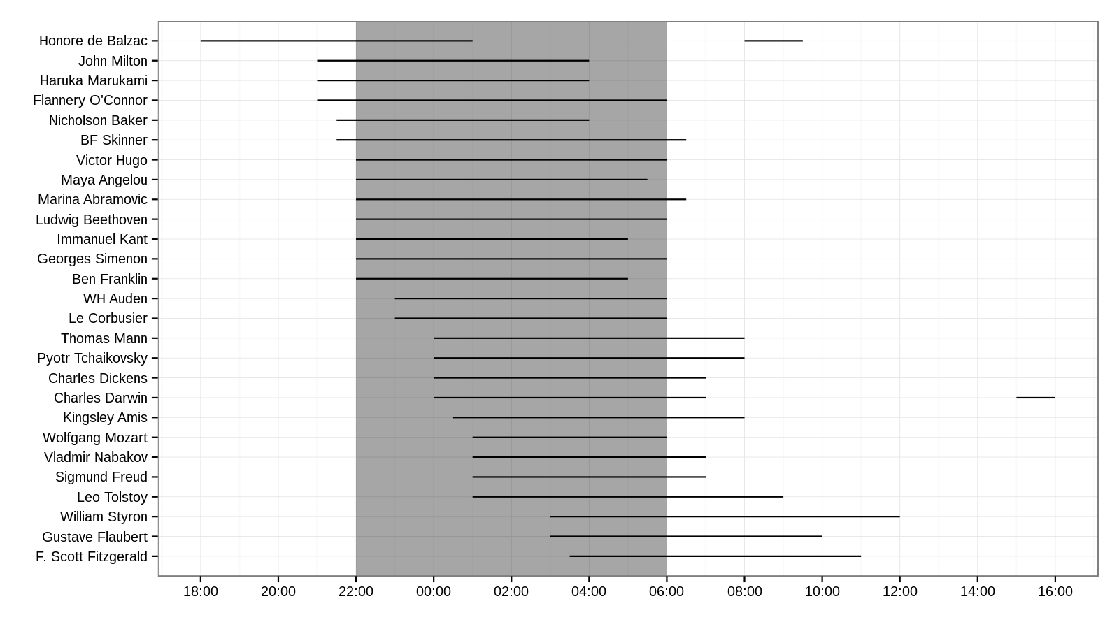
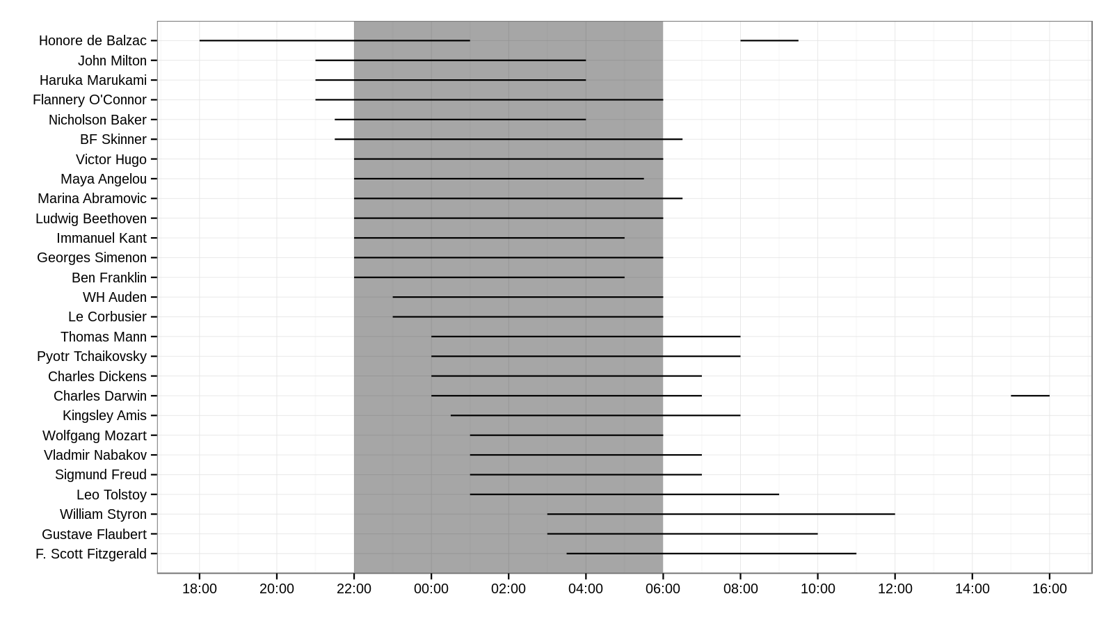
Losing sleep over schedules
Fan of the blog, John H., made a JunkCharts-style post about a chart that has been picked as a "Best of" for 2014 by Fast Company (link). I agree with him. It seems more fit to be on the "Worst of" list. Here it is:

As John pointed out, the outside yellow arc (Beethoven) and the inside green arc (Simenon) present, shockingly, the same exact sleep schedule (10 pm to 6 am).
John unrolled the arcs and used R to make this version:

Go here to read John's entire post.
***
Another improvement is to add a "control". One way to understand how unusual these sleep patterns are is to compare them to the average person.
I'm also a little dubious as to the reliability of this data. How do we know their sleep schedules? And how variant were their schedules?
If I rate this via the Trifecta Checkup, I'd classify this as Type DV.